彭冰钰、李杰等- ACA:研发了高精度Mo同位素分析新技术
钼(Mo)是一种氧化还原敏感性金属元素,作为重要的非传统稳定同位素地球化学研究工具,已被广泛应用于示踪古海洋氧化还原环境演化、板块俯冲等高温地质过程以及矿床成因等领域。目前,Mo同位素分析技术已比较成熟,我们实验室已建立了基于自主研发的BPHA树脂分离Mo的方法,但是该方法要依赖氢氟酸(HF)这种危险试剂将Mo从BPHA树脂柱上洗脱下来,操作安全性低。
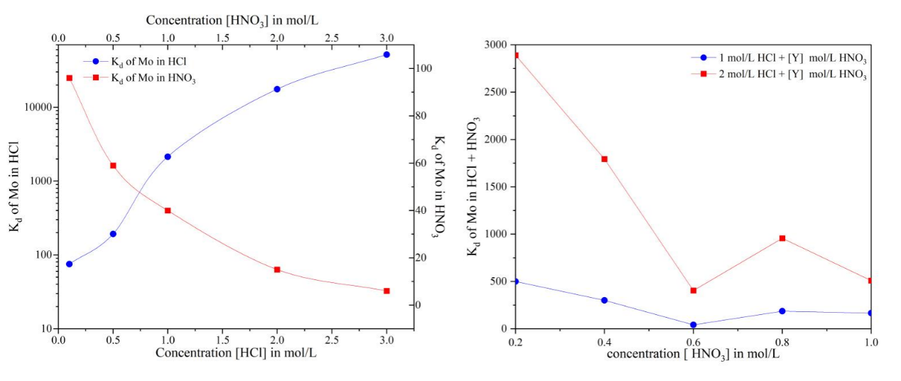
近期,中国科学院广州地球化学研究所博士研究生彭冰钰在李杰正高级工程师的指导下,自主研发和制备出三辛基氧化磷(TOPO)树脂,实验发现该树脂在HCl 介质中对Mo具有强的吸附性能,而在HNO3介质中不吸附Mo(图1),利用Mo在该树脂上的吸附解吸特征,建立了仅使用稀HCl-HNO3的混合酸(≤1M)的单柱分离富集Mo的方法,显著提升了操作安全性和分离富集效率(图2),最后采用双稀释剂法结合MC-ICPMS测定其同位素组成。另外,针对目前Mo同位素在金属组学领域的潜在应用,利用该技术首次对国内外生物标准物质开展了Mo同位素测定工作,为相关研究提供重要的技术支持和测试数据质量监控(图3),相关成果发表在了分析化学期刊《Analytica Chimica Acta》上。

图1. 在不同HCl、HNO3和HCl-HNO3混酸浓度下Mo在TOPO萃淋树脂上的吸附

图2. TOPO树脂对地质标样GBW07109(a)和GBW07105(b)进行Mo分离的洗脱曲线,对应的钼回收率分别为97%和93%

图3. TOPO树脂和BPHA树脂两种分离方法测得的5种生物标样的Mo同位素值
研究工作受到国家重点研发计划(2023YFF0803704)和国家自然科学基金(42373030)的资助。
论文信息:
Peng Bingyu(彭冰钰), Li Jie*(李杰), Zhong Qiaohui(钟桥辉), Dong Feiyu(董飞羽), Chu Gaobin(初高彬), Yin Lu(尹露), Zhang Jing(张晶). A novel and efficient single column separation procedure for high-precision determination of Molybdenum isotope ratio analysis by MC-ICP-MS. Anal. Chim. Acta. 2026, 1387, 345072.
论文链接:https://doi.org/10.1016/j.aca.2026.345072
附件下载: